Home Browse Text SearchFunctional Group SearchStructure SearchPreferences Administration

selected data collection: 1

IRIS SDF: browse content


1
  <<    <    >    >>  

1:851 C9H17NO5 C9H17NO5 C9H17NO5 C9H17NO5 C9H17N
hit structure
1:852 C10H19NO5 C10H19NO5 C10H19NO5 C10H19NO5 C1
hit structure
1:853 C15H18N2O4S C15H18N2O4S C15H18N2O4S C15H18N
hit structure
1:854 C17H25NO5 C17H25NO5 C17H25NO5 C17H25NO5 C1
hit structure
1:855 C15H14O C15H14O C15H14O C15H14O C15H14O
hit structure
1:856 C15H14O2 C15H14O2 C15H14O2 C15H14O2 C15H14
hit structure
1:857 C15H14O2 C15H14O2 C15H14O2 C15H14O2 C15H14
hit structure
1:858 C14H12O C14H12O C14H12O C14H12O C14H12O
hit structure
1:859 C47H44N2O6 C47H44N2O6 C47H44N2O6 C47H44N2O6
hit structure
1:860 C47H44N2O6 C47H44N2O6 C47H44N2O6 C47H44N2O6
hit structure
1:861 C52H44ClNO7 C52H44ClNO7 C52H44ClNO7 C52H44C
hit structure
1:862 C52H44ClNO7 C52H44ClNO7 C52H44ClNO7 C52H44C
hit structure
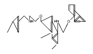
1:863 C40H38N2O6 C40H38N2O6 C40H38N2O6 C40H38N2O6
hit structure
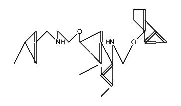
1:864 C40H38N2O6 C40H38N2O6 C40H38N2O6 C40H38N2O6
hit structure
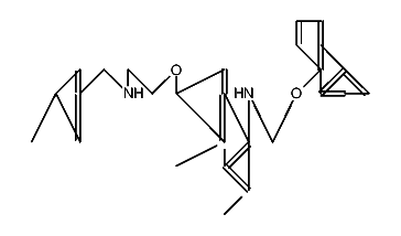
1:865 C40H38N2O6 C40H38N2O6 C40H38N2O6 C40H38N2O6
hit structure
1:866 C15H16O2 C15H16O2 C15H16O2 C15H16O2 C15H16
hit structure
1:867 C25H20N2O4S C25H20N2O4S C25H20N2O4S C25H20N
hit structure
1:868 C38H33NO5S C38H33NO5S C38H33NO5S C38H33NO5S
hit structure
1:869 C37H31NO4S C37H31NO4S C37H31NO4S C37H31NO4S
hit structure
1:870 C37H31NO4S C37H31NO4S C37H31NO4S C37H31NO4S
hit structure
1:871 C39H34N2O5 C39H34N2O5 C39H34N2O5 C39H34N2O5
hit structure
1:872 C24H27NO6 C24H27NO6 C24H27NO6 C24H27NO6 C2
hit structure
1:873 C17H15NO4 C17H15NO4 C17H15NO4 C17H15NO4 C1
hit structure
1:874 C40H32ClN3O4 C40H32ClN3O4 C40H32ClN3O4 C40H
hit structure
1:875 C40H32ClN3O4 C40H32ClN3O4 C40H32ClN3O4 C40H
hit structure

1
  <<    <    >    >>  

entries in data collection: 282562