Home Browse Text SearchFunctional Group SearchStructure SearchPreferences Administration

selected data collection: 1

IRIS SDF: browse content


1
  <<    <    >    >>  

1:8485 C14H21N7O4 C14H21N7O4 C14H21N7O4 C14H21N7O4
hit structure
1:8486 C10H13NO2 C10H13NO2 C10H13NO2 C10H13NO2 C1
hit structure
1:8487 C13H14N2O3 C13H14N2O3 C13H14N2O3 C13H14N2O3
hit structure
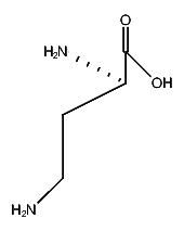
1:8488 C4H9NO2 C4H9NO2 C4H9NO2 C4H9NO2 C4H9NO2
hit structure
1:8489 C7H15NO2 C7H15NO2 C7H15NO2 C7H15NO2 C7H15N
hit structure
1:8490 C10H13NO2 C10H13NO2 C10H13NO2 C10H13NO2 C1
hit structure
1:8491 C6H13NO2 C6H13NO2 C6H13NO2 C6H13NO2 C6H13N
hit structure
1:8492 C4H10N2O2 C4H10N2O2 C4H10N2O2 C4H10N2O2 C4
hit structure
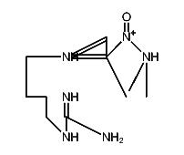
1:8493 C7H16N4O2 C7H16N4O2 C7H16N4O2 C7H16N4O2 C7
hit structure
1:8494 C13H18N2O4 C13H18N2O4 C13H18N2O4 C13H18N2O4
hit structure
1:8495 C6H11NO2 C6H11NO2 C6H11NO2 C6H11NO2 C6H11N
hit structure
1:8496 C8H10N2O2 C8H10N2O2 C8H10N2O2 C8H10N2O2 C8
hit structure
1:8497 C8H10N2O2 C8H10N2O2 C8H10N2O2 C8H10N2O2 C8
hit structure
1:8498 C9H17NO4 C9H17NO4 C9H17NO4 C9H17NO4 C9H17N
hit structure
1:8499 C9H10BrNO2 C9H10BrNO2 C9H10BrNO2 C9H10BrNO2
hit structure
1:8500 C6H11NO4 C6H11NO4 C6H11NO4 C6H11NO4 C6H11N
hit structure
1:8501 C9H17NO4 C9H17NO4 C9H17NO4 C9H17NO4 C9H17N
hit structure
1:8502 C7H11N3O2 C7H11N3O2 C7H11N3O2 C7H11N3O2 C7
hit structure
1:8503 C9H9NO2 C9H9NO2 C9H9NO2 C9H9NO2 C9H9NO2
hit structure
1:8504 C4H9NO2 C4H9NO2 C4H9NO2 C4H9NO2 C4H9NO2
hit structure
1:8505 C7H16N2O2 C7H16N2O2 C7H16N2O2 C7H16N2O2 C7
hit structure
1:8506 C9H10FNO2 C9H10FNO2 C9H10FNO2 C9H10FNO2 C9
hit structure
1:8507 C4H9NO2 C4H9NO2 C4H9NO2 C4H9NO2 C4H9NO2
hit structure
1:8508 C11H23NO3 C11H23NO3 C11H23NO3 C11H23NO3 C1
hit structure
1:8509 C6H15N5O C6H15N5O C6H15N5O C6H15N5O C6H15N
hit structure

1
  <<    <    >    >>  

entries in data collection: 86314