Home Browse Text SearchFunctional Group SearchStructure SearchPreferences Administration

selected data collection: 1

IRIS SDF: browse content


1
  <<    <    >    >>  

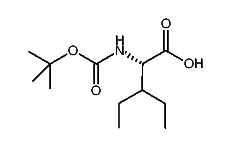
1:82207 C11H21NO4
hit structure
1:82208 C11H21NO4
hit structure
1:82209 C13H23NO4
hit structure
1:82210 C12H21NO5
hit structure
1:82211 C12H21NO4
hit structure
1:82212 C14H25NO4
hit structure
1:82213 C14H19NO4
hit structure
1:82214 C15H21NO4
hit structure
1:82215 C10H17NO5
hit structure
1:82216 C12H16N2O5
hit structure
1:82217 C12H23NO4
hit structure
1:82218 C12H19N3O4
hit structure
1:82219 C12H19N3O4
hit structure
1:82220 C21H29N3O5
hit structure
1:82221 C23H44N2O5
hit structure
1:82222 C10H17NO4
hit structure
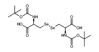
1:82223 C16H28N2O8Se2
hit structure
1:82224 C25H28N2O6
hit structure
1:82225 C13H25NO4
hit structure
1:82226 C11H21NO5
hit structure
1:82227 C12H17NO5
hit structure
1:82228 C12H17NO5
hit structure
1:82229 C13H23NO4
hit structure
1:82230 C16H23NO5Se
hit structure
1:82231 C16H20F3NO4
hit structure

1
  <<    <    >    >>  

entries in data collection: 111474