Home Browse Text SearchFunctional Group SearchStructure SearchPreferences Administration

selected data collection: 1

IRIS SDF: browse content


1
  <<    <    >    >>  

1:8160 C12H13NO3 C12H13NO3 C12H13NO3 C12H13NO3 C1
hit structure
1:8161 C5H11NO4S C5H11NO4S C5H11NO4S C5H11NO4S C5
hit structure
1:8162 C9H11NO3 C9H11NO3 C9H11NO3 C9H11NO3 C9H11N
hit structure
1:8163 C9H17NO4 C9H17NO4 C9H17NO4 C9H17NO4 C9H17N
hit structure
1:8164 C12H14N2O2 C12H14N2O2 C12H14N2O2 C12H14N2O2
hit structure
1:8165 C4H9NO2S C4H9NO2S C4H9NO2S C4H9NO2S C4H9NO
hit structure
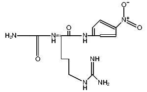
1:8166 C9H17N5O4 C9H17N5O4 C9H17N5O4 C9H17N5O4 C9
hit structure
1:8167 C9H11NO2 C9H11NO2 C9H11NO2 C9H11NO2 C9H11N
hit structure
1:8168 C9H11NO2 C9H11NO2 C9H11NO2 C9H11NO2 C9H11N
hit structure
1:8169 HAA2755.cdx HAA2755.cdx HAA2755.cdx HAA2755
hit structure
1:8170 C6H10F3NO2 C6H10F3NO2 C6H10F3NO2 C6H10F3NO2
hit structure
1:8171 C12H12F3NO3 C12H12F3NO3 C12H12F3NO3 C12H12F
hit structure
1:8172 C12H12F3NO3 C12H12F3NO3 C12H12F3NO3 C12H12F
hit structure
1:8173 C13H18N2O4 C13H18N2O4 C13H18N2O4 C13H18N2O4
hit structure
1:8174 C22H19N3O2S C22H19N3O2S C22H19N3O2S C22H19N
hit structure
1:8175 C6H11N3O2 C6H11N3O2 C6H11N3O2 C6H11N3O2 C6
hit structure
1:8176 C6H9N5O4 C6H9N5O4 C6H9N5O4 C6H9N5O4 C6H9N5
hit structure
1:8177 C4H6N4O3 C4H6N4O3 C4H6N4O3 C4H6N4O3 C4H6N4
hit structure
1:8178 C29H28N2O7S C29H28N2O7S C29H28N2O7S C29H28N
hit structure
1:8179 C30H30N2O7S C30H30N2O7S C30H30N2O7S C30H30N
hit structure
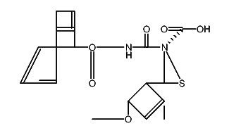
1:8180 C50H45N3O8S C50H45N3O8S C50H45N3O8S C50H45N
hit structure
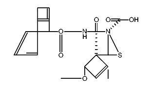
1:8181 C35H38N2O9S C35H38N2O9S C35H38N2O9S C35H38N
hit structure
1:8182 C51H47N3O8S C51H47N3O8S C51H47N3O8S C51H47N
hit structure
1:8183 C36H40N2O9S C36H40N2O9S C36H40N2O9S C36H40N
hit structure
1:8184 C33H36N2O7S C33H36N2O7S C33H36N2O7S C33H36N
hit structure

1
  <<    <    >    >>  

entries in data collection: 91346