Home Browse Text SearchFunctional Group SearchStructure SearchPreferences Administration

selected data collection: 1

IRIS SDF: browse content


1
  <<    <    >    >>  

1:80358 C46H60N4O13
hit structure
1:80359 C125H120N6O22
hit structure
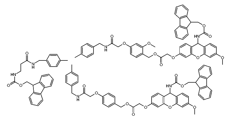
1:80360 C110H114N6O25
hit structure
1:80361 C96H97N7O14
hit structure
1:80362 C34H33NO5
hit structure
1:80363 C33H31NO5
hit structure
1:80364 C36H37NO5
hit structure
1:80365 C33H31NO5
hit structure
1:80366 C34H33NO5
hit structure
1:80367 C41H46N2O7
hit structure
1:80368 C40H42N2O7
hit structure
1:80369 C46H52N4O7S
hit structure
1:80370 C51H48N2O7
hit structure
1:80371 C35H31NO5
hit structure
1:80372 C53H46N2O6
hit structure
1:80373 C49H54N4O8S
hit structure
1:80374 C38H39NO7
hit structure
1:80375 C52H45NO5S
hit structure
1:80376 C39H41NO7
hit structure
1:80377 C16H14N2O6
hit structure
1:80378 C14H19N3O5S
hit structure
1:80379 C9H9BrO2
hit structure
1:80380 C13H22N2
hit structure
1:80381 C7H14N2
hit structure
1:80382 C21H19ClO2
hit structure

1
  <<    <    >    >>  

entries in data collection: 91346