Home Browse Text SearchFunctional Group SearchStructure SearchPreferences Administration

selected data collection: 1

IRIS SDF: browse content


1
  <<    <    >    >>  

1:79758 C17H11NO3
hit structure
1:79759 C9H15O6P
hit structure
1:79760 C24H36N4O6S
hit structure
1:79761 C18H25N3O3S
hit structure
1:79762 C16H28N4O4S
hit structure
1:79763 C46H50N10O9
hit structure
1:79764 C55H65N7O12
hit structure
1:79765 C51H53N7O16
hit structure
1:79766 C48H63N13O10
hit structure
1:79767 C23H34N4O4S3
hit structure
1:79768 C14H20N4O4
hit structure
1:79769 C16H15N5
hit structure
1:79770 C27H38D6O2
hit structure
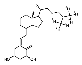
1:79771 C27H40D6O2
hit structure
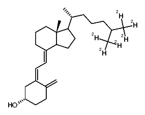
1:79772 C27H38D6O
hit structure
1:79773 C27H38D6O2
hit structure
1:79774 C27H38D6O3
hit structure
1:79775 C27H41D3O
hit structure
1:79776 C27H38D6O
hit structure
1:79777 C27H40D6O
hit structure
1:79778 C28H38D6O2
hit structure
1:79779 C28H38D6O2
hit structure
1:79780 C28H38D6O3
hit structure
1:79781 C28H41D3O
hit structure
1:79782 C28H38D6O
hit structure

1
  <<    <    >    >>  

entries in data collection: 96378