Home Browse Text SearchFunctional Group SearchStructure SearchPreferences Administration

selected data collection: 1

IRIS SDF: browse content


1
  <<    <    >    >>  

1:7935 C60H60O60 C60H60O60 C60H60O60 C60H60O60 C6
hit structure
1:7936 C70 C70 C70 C70 C70 C70 C70 C70 C
hit structure
1:7937 C94H28O4 C94H28O4 C94H28O4 C94H28O4 C94H28
hit structure
1:7938 C82H14O2 C82H14O2 C82H14O2 C82H14O2 C82H14
hit structure
1:7939 C69H6O12 C69H6O12 C69H6O12 C69H6O12 C69H6O
hit structure
1:7940 C79H6O12 C79H6O12 C79H6O12 C79H6O12 C79H6O
hit structure
1:7941 C70H70O70 C70H70O70 C70H70O70 C70H70O70 C7
hit structure
1:7942 C46H56N4O4 C46H56N4O4 C46H56N4O4 C46H56N4O4
hit structure
1:7943 C21H24N2O2 C21H24N2O2 C21H24N2O2 C21H24N2O2
hit structure
1:7944 C19H22N2O2 C19H22N2O2 C19H22N2O2 C19H22N2O2
hit structure
1:7945 C18H20N2O2 C18H20N2O2 C18H20N2O2 C18H20N2O2
hit structure
1:7946 C20H24N2O2 C20H24N2O2 C20H24N2O2 C20H24N2O2
hit structure
1:7947 C25H34N2O4 C25H34N2O4 C25H34N2O4 C25H34N2O4
hit structure
1:7948 C33H37N3O13 C33H37N3O13 C33H37N3O13 C33H37N
hit structure
1:7949 C32H36N2O13 C32H36N2O13 C32H36N2O13 C32H36N
hit structure
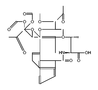
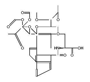
1:7950 C56H65N3O24 C56H65N3O24 C56H65N3O24 C56H65N
hit structure
1:7951 C33H38N2O13 C33H38N2O13 C33H38N2O13 C33H38N
hit structure
1:7952 C44H52N2O21 C44H52N2O21 C44H52N2O21 C44H52N
hit structure
1:7953 C45H54N2O21 C45H54N2O21 C45H54N2O21 C45H54N
hit structure
1:7954 C32H36N2O13 C32H36N2O13 C32H36N2O13 C32H36N
hit structure
1:7955 C6H12O6 C6H12O6 C6H12O6 C6H12O6 C6H12O6
hit structure
1:7956 C33H36N2O14 C33H36N2O14 C33H36N2O14 C33H36N
hit structure
1:7957 C33H36N2O14 C33H36N2O14 C33H36N2O14 C33H36N
hit structure
1:7958 C32H35NO14 C32H35NO14 C32H35NO14 C32H35NO14
hit structure
1:7959 C17H29NO9 C17H29NO9 C17H29NO9 C17H29NO9 C1
hit structure

1
  <<    <    >    >>  

entries in data collection: 91346