Home Browse Text SearchFunctional Group SearchStructure SearchPreferences Administration

selected data collection: 1

IRIS SDF: browse content


1
  <<    <    >    >>  

1:79008 C45H54N2O21
hit structure
1:79009 C32H36N2O13
hit structure
1:79010 C6H12O6
hit structure
1:79011 C33H36N2O14
hit structure
1:79012 C32H35NO14
hit structure
1:79013 C32H35NO14
hit structure
1:79014 C33H37NO14
hit structure
1:79015 C33H38N2O13
hit structure
1:79016 C9H18O5S
hit structure
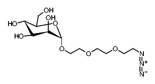
1:79017 C14H26N4O8
hit structure
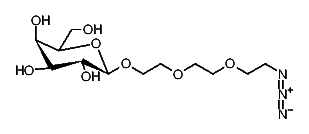
1:79018 C17H29NO9
hit structure
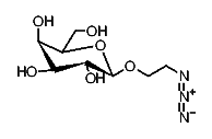
1:79019 C12H23N3O8
hit structure
1:79020 C15H26O9
hit structure
1:79021 C12H23N3O8
hit structure
1:79022 C15H26O9
hit structure
1:79023 C14H26N4O8
hit structure
1:79024 C17H29NO9
hit structure
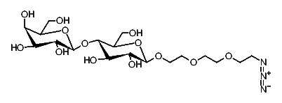
1:79025 C18H33N3O13
hit structure
1:79026 C21H36O14
hit structure
1:79027 C12H23N3O8
hit structure
1:79028 C15H26O9
hit structure
1:79029 C8H15N3O6
hit structure
1:79030 C8H15N3O6
hit structure
1:79031 C8H15N3O6
hit structure
1:79032 C10H18N4O6
hit structure

1
  <<    <    >    >>  

entries in data collection: 101410