Home Browse Text SearchFunctional Group SearchStructure SearchPreferences Administration

selected data collection: 1

IRIS SDF: browse content


1
  <<    <    >    >>  

1:779414 C43H42N2O6
hit structure
1:779415 C44H44N2O6
hit structure
1:779416 C49H46N2O6
hit structure
1:779417 C41H38N2O5
hit structure
1:779418 C52H47N3O7
hit structure
1:779419 C27H29NO5
hit structure
1:779420 C43H52N4O8S
hit structure
1:779421 C44H54N4O8S
hit structure
1:779422 C47H44N2O6
hit structure
1:779423 C32H37NO7
hit structure
1:779424 C46H43NO5S
hit structure
1:779425 C30H34N2O6S
hit structure
1:779426 C31H37NO5S
hit structure
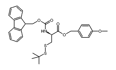
1:779427 C31H37NO5S2
hit structure
1:779428 C48H46N2O6
hit structure
1:779429 C33H39NO7
hit structure
1:779430 C49H45N3O5
hit structure
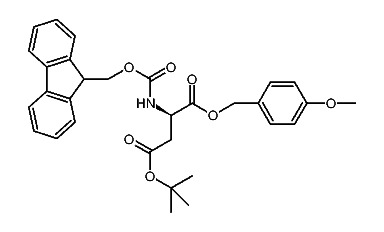
1:779431 C30H35NO5
hit structure
1:779432 C30H35NO5
hit structure
1:779433 C35H44N2O7
hit structure
1:779434 C29H33NO5S
hit structure
1:779435 C30H35NO5
hit structure
1:779436 C34H42N2O7
hit structure
1:779437 C33H33NO5
hit structure
1:779438 C29H31NO5
hit structure

1
  <<    <    >    >>  

entries in data collection: 779840