Home Browse Text SearchFunctional Group SearchStructure SearchPreferences Administration

selected data collection: 1

IRIS SDF: browse content


1
  <<    <    >    >>  

1:776022 C27H34N2O6
hit structure
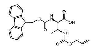
1:776023 C26H32N2O6
hit structure
1:776024 C26H32N2O6
hit structure
1:776025 C25H23NO4
hit structure
1:776026 C25H23NO4
hit structure
1:776027 C24H27NO6
hit structure
1:776028 C25H29NO6
hit structure
1:776029 C24H27NO6
hit structure
1:776030 C32H32N2O6
hit structure
1:776031 C21H23NO4
hit structure
1:776032 C23H24N2O6
hit structure
1:776033 C19H18N2O5
hit structure
1:776034 C19H18N2O5
hit structure
1:776035 C24H28N2O6
hit structure
1:776036 C24H28N2O6
hit structure
1:776037 C25H26N2O6
hit structure
1:776038 C20H19NO4
hit structure
1:776039 C22H18N2O4
hit structure
1:776040 C23H20N2O4
hit structure
1:776041 C27H26N2O6
hit structure
1:776042 C26H22N2O6
hit structure
1:776043 C22H16N2O6
hit structure
1:776044 C18H16ClNO4
hit structure
1:776045 C24H24N2O6
hit structure
1:776046 C26H25NO6S2
hit structure

1
  <<    <    >    >>  

entries in data collection: 779840