Home Browse Text SearchFunctional Group SearchStructure SearchPreferences Administration

selected data collection: 1

IRIS SDF: browse content


1
  <<    <    >    >>  

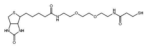
1:772522 C19H34N4O5S2
hit structure
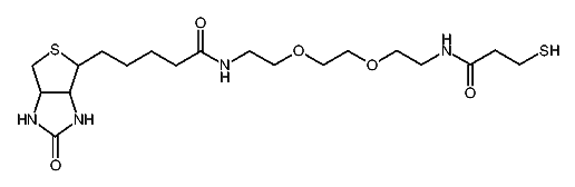
1:772523 C19H34N4O5S2
hit structure
1:772524 C7H15N3O3
hit structure
1:772525 C12H24N2O7
hit structure
1:772526 C54H48N2O6
hit structure
1:772527 C39H41NO7
hit structure
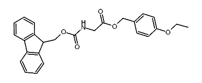
1:772528 C26H25NO5
hit structure
1:772529 C55H47N3O5
hit structure
1:772530 C36H37NO5
hit structure
1:772531 C36H37NO5
hit structure
1:772532 C41H46N2O7
hit structure
1:772533 C35H35NO5S
hit structure
1:772534 C36H37NO5
hit structure
1:772535 C40H44N2O7
hit structure
1:772536 C39H35NO5
hit structure
1:772537 C13H13NO5
hit structure
1:772538 C19H16N2O7
hit structure
1:772539 C19H24N2O7
hit structure
1:772540 C18H19NO5
hit structure
1:772541 C19H21NO5
hit structure
1:772542 C19H21NO5
hit structure
1:772543 C23H21N3O6
hit structure
1:772544 C24H23NO5
hit structure
1:772545 C25H28N2O7
hit structure
1:772546 C17H17NO5
hit structure

1
  <<    <    >    >>  

entries in data collection: 774210