Home Browse Text SearchFunctional Group SearchStructure SearchPreferences Administration

selected data collection: 1

IRIS SDF: browse content


1
  <<    <    >    >>  

1:772077 C21H35NO3
hit structure
1:772078 C21H21N5O5
hit structure
1:772079 C8H15N5O3
hit structure
1:772080 C6H12N2O4Se2
hit structure
1:772081 C12H14N2O6Se
hit structure
1:772082 C14H19N5O4
hit structure
1:772083 C14H19N5O4
hit structure
1:772084 C25H32N2O4
hit structure
1:772085 C12H20N2O5
hit structure
1:772086 C11H18N2O3
hit structure
1:772087 C9H15N3O2
hit structure
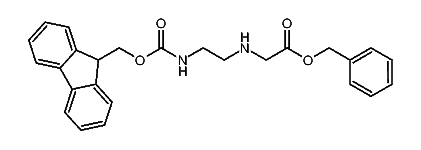
1:772088 C26H26N2O4
hit structure
1:772089 C12H26N2O4Si
hit structure
1:772090 C10H12N2O4Se
hit structure
1:772091 C12H13N5O2
hit structure
1:772092 C11H14N2O4Se
hit structure
1:772093 C14H16N8O2
hit structure
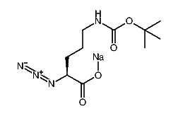
1:772094 C10H17N4NaO4
hit structure
1:772095 C12H13N5O2
hit structure
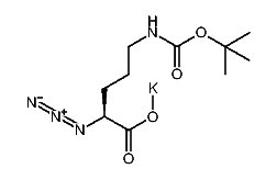
1:772096 C10H17KN4O4
hit structure
1:772097 C15H19N5O2
hit structure
1:772098 C14H17N5O2
hit structure
1:772099 C20H32N4O5S
hit structure
1:772100 C11H23N3O3
hit structure
1:772101 C10H19NO2
hit structure

1
  <<    <    >    >>  

entries in data collection: 774210