Home Browse Text SearchFunctional Group SearchStructure SearchPreferences Administration

selected data collection: 1

IRIS SDF: browse content


1
  <<    <    >    >>  

1:768032 C10H15N3O2
hit structure
1:768033 C13H28BrN5O4
hit structure
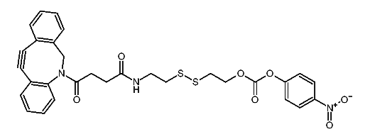
1:768034 C31H26N2O7S2
hit structure
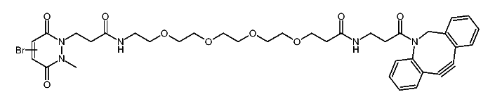
1:768035 C35H29N3O7S2
hit structure
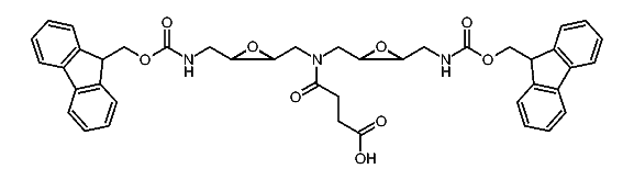
1:768036 C30H27N3O7S2
hit structure
1:768037 C30H57N3O13
hit structure
1:768038 C50H61N3O13
hit structure
1:768039 C13H26N2O5
hit structure
1:768040 C28H31NO5S
hit structure
1:768041 C13H8O3
hit structure
1:768042 C8H5N3S
hit structure
1:768043 C6H3Br2NO4
hit structure
1:768044 C8H8Br2N2O4
hit structure
1:768045 C37H43Br2N5O9
hit structure
1:768046 C6H4BrNO4
hit structure
1:768047 C35H39BrN4O9
hit structure
1:768048 C9H13BrN2O4
hit structure
1:768049 C38H48BrN5O9
hit structure
1:768050 C32H36N2O8
hit structure
1:768051 C23H20N2O2
hit structure
1:768052 C30H34N2O6
hit structure
1:768053 C16H15N3O
hit structure
1:768054 C21H25N3O5
hit structure
1:768055 C19H21N5O2S
hit structure
1:768056 C30H42N6O7S
hit structure

1
  <<    <    >    >>  

entries in data collection: 768580