Home Browse Text SearchFunctional Group SearchStructure SearchPreferences Administration

selected data collection: 1

IRIS SDF: browse content


1
  <<    <    >    >>  

1:766053 C6H9NO3
hit structure
1:766054 C12H22N2O4
hit structure
1:766055 C16H26N2O4
hit structure
1:766056 C16H22N2O4
hit structure
1:766057 C18H34N2O4
hit structure
1:766058 C18H30N2O4
hit structure
1:766059 C8H15NO2
hit structure
1:766060 C7H13NO2
hit structure
1:766061 C12H18N2O4
hit structure
1:766062 C14H26N2O4
hit structure
1:766063 C8H15NO2
hit structure
1:766064 C14H26N2O4
hit structure
1:766065 C16H30N2O4
hit structure
1:766066 C14H22N2O4
hit structure
1:766067 C14H22N2O4
hit structure
1:766068 C18H30N2O4
hit structure
1:766069 C7H13NO2
hit structure
1:766070 C6H13NO2
hit structure
1:766071 C7H15NO2
hit structure
1:766072 C8H17NO2
hit structure
1:766073 C9H19NO2
hit structure
1:766074 C7H15NO2
hit structure
1:766075 C6H13NO2
hit structure
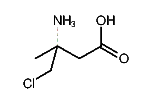
1:766076 C5H10ClNO2
hit structure
1:766077 C9H17NO2
hit structure

1
  <<    <    >    >>  

entries in data collection: 768580