Home Browse Text SearchFunctional Group SearchStructure SearchPreferences Administration

selected data collection: 1

IRIS SDF: browse content


1
  <<    <    >    >>  

1:755351 C46H50N10O9
hit structure
1:755352 C55H65N7O12
hit structure
1:755353 C51H53N7O16
hit structure
1:755354 C48H63N13O10
hit structure
1:755355 C23H34N4O4S3
hit structure
1:755356 C14H20N4O4
hit structure
1:755357 C16H15N5
hit structure
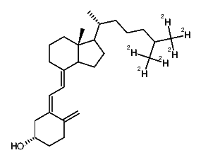
1:755358 C27H38D6O2
hit structure
1:755359 C27H40D6O2
hit structure
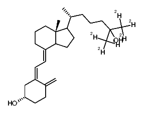
1:755360 C27H38D6O
hit structure
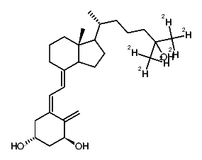
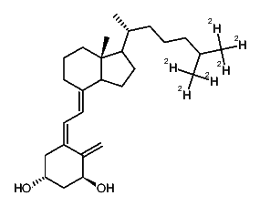
1:755361 C27H38D6O2
hit structure
1:755362 C27H38D6O3
hit structure
1:755363 C27H41D3O
hit structure
1:755364 C27H38D6O
hit structure
1:755365 C27H40D6O
hit structure
1:755366 C28H38D6O2
hit structure
1:755367 C28H38D6O2
hit structure
1:755368 C28H38D6O3
hit structure
1:755369 C28H41D3O
hit structure
1:755370 C28H38D6O
hit structure
1:755371 C29H47D3O2
hit structure
1:755372 C29H44D6O2
hit structure
1:755373 C31H46D6O3
hit structure
1:755374 C29H41D9O2
hit structure
1:755375 C31H43D9O3
hit structure

1
  <<    <    >    >>  

entries in data collection: 757320