Home Browse Text SearchFunctional Group SearchStructure SearchPreferences Administration

selected data collection: 1

IRIS SDF: browse content


1
  <<    <    >    >>  

1:753020 C26H21FN2O4
hit structure
1:753021 C22H25NO4
hit structure
1:753022 C32H25NO4
hit structure
1:753023 C24H18F3NO4
hit structure
1:753024 C26H21ClN2O4
hit structure
1:753025 C22H24N2O5
hit structure
1:753026 C44H37NO4S
hit structure
1:753027 C25H24N2O6S
hit structure
1:753028 C34H30F3NO7S
hit structure
1:753029 C39H42N4O7S
hit structure
1:753030 C23H27NO5
hit structure
1:753031 C30H32BNO6
hit structure
1:753032 C34H39BN2O7
hit structure
1:753033 C28H28N2O6
hit structure
1:753034 C45H62N10O13
hit structure
1:753035 C51H72N12O15
hit structure
1:753036 C29H32N2O6
hit structure
1:753037 C25H29NO6
hit structure
1:753038 C26H31NO6
hit structure
1:753039 C27H33NO6
hit structure
1:753040 C25H27NO4
hit structure
1:753041 C28H27NO4
hit structure
1:753042 C28H27NO4
hit structure
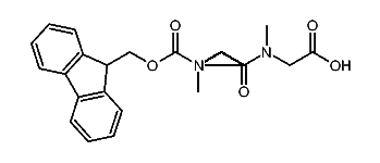
1:753043 C18H17NO4
hit structure
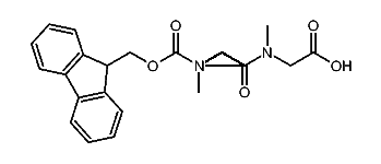
1:753044 C18H17NO4
hit structure

1
  <<    <    >    >>  

entries in data collection: 757320