Home Browse Text SearchFunctional Group SearchStructure SearchPreferences Administration

selected data collection: 1

IRIS SDF: browse content


1
  <<    <    >    >>  

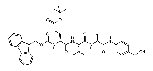
1:751862 C49H57N7O13
hit structure
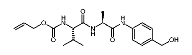
1:751863 C39H48N4O8
hit structure
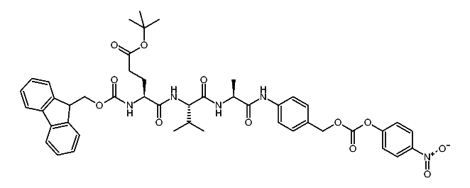
1:751864 C46H51N5O12
hit structure
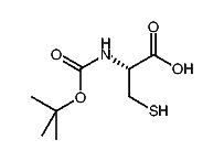
1:751865 C19H27N3O5
hit structure
1:751866 C22H33N5O6
hit structure
1:751867 C12H14N2O
hit structure
1:751868 C9H18N2O2
hit structure
1:751869 C15H14N2O2
hit structure
1:751870 C11H26N2O4
hit structure
1:751871 C8H15NO4S
hit structure
1:751872 C27H29NO4S
hit structure
1:751873 C13H22N2O6
hit structure
1:751874 C24H28N2O6
hit structure
1:751875 C9H18N2O4
hit structure
1:751876 C23H26N2O6
hit structure
1:751877 C23H26N2O6
hit structure
1:751878 C10H18N2O5
hit structure
1:751879 C13H21NO6
hit structure
1:751880 C17H23NO6
hit structure
1:751881 C16H31NO4
hit structure
1:751882 C17H33NO4
hit structure
1:751883 C12H15NO4
hit structure
1:751884 C12H15NO4
hit structure
1:751885 C12H15NO4
hit structure
1:751886 C13H17NO4
hit structure

1
  <<    <    >    >>  

entries in data collection: 757320