Home Browse Text SearchFunctional Group SearchStructure SearchPreferences Administration

selected data collection: 1

IRIS SDF: browse content


1
  <<    <    >    >>  

1:750378 C16H31N3O6Si
hit structure
1:750379 C11H25N5O5Si
hit structure
1:750380 C11H25N5O5Si
hit structure
1:750381 C11H25N5O5Si
hit structure
1:750382 C11H25N5O5Si
hit structure
1:750383 C21H41N5O7SSi
hit structure
1:750384 C21H41N5O7SSi
hit structure
1:750385 C21H41N5O7SSi
hit structure
1:750386 C21H41N5O7SSi
hit structure
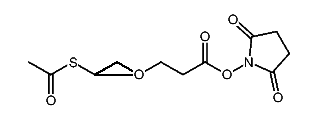
1:750387 C10H13NO6
hit structure
1:750388 C6H13N3O3
hit structure
1:750389 C20H39NO10
hit structure
1:750390 C18H35NO9
hit structure
1:750391 C14H27NO7
hit structure
1:750392 C18H32N6O5S
hit structure
1:750393 C21H35N3O6S
hit structure
1:750394 C11H22N4O4
hit structure
1:750395 C25H30N2O7
hit structure
1:750396 C6H14N4O2
hit structure
1:750397 C22H43NO5
hit structure
1:750398 C13H12F4N4O5
hit structure
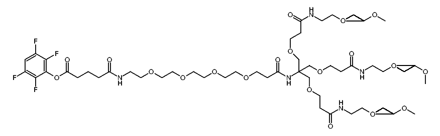
1:750399 C104H191F4N5O47
hit structure
1:750400 C57H107NO29S
hit structure
1:750401 C23H28N2O11
hit structure
1:750402 C18H29NO11
hit structure

1
  <<    <    >    >>  

entries in data collection: 751690