Home Browse Text SearchFunctional Group SearchStructure SearchPreferences Administration

selected data collection: 1

IRIS SDF: browse content


1
  <<    <    >    >>  

1:74726 C17H11NO3
hit structure
1:74727 C9H15O6P
hit structure
1:74728 C24H36N4O6S
hit structure
1:74729 C18H25N3O3S
hit structure
1:74730 C16H28N4O4S
hit structure
1:74731 C46H50N10O9
hit structure
1:74732 C55H65N7O12
hit structure
1:74733 C51H53N7O16
hit structure
1:74734 C48H63N13O10
hit structure
1:74735 C23H34N4O4S3
hit structure
1:74736 C14H20N4O4
hit structure
1:74737 C16H15N5
hit structure
1:74738 C27H38D6O2
hit structure
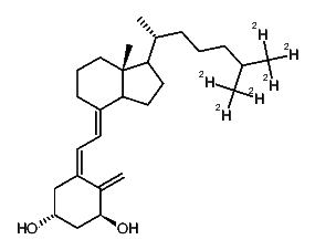
1:74739 C27H40D6O2
hit structure
1:74740 C27H38D6O
hit structure
1:74741 C27H38D6O2
hit structure
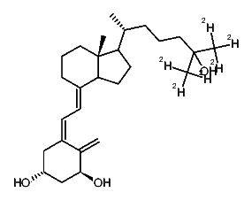
1:74742 C27H38D6O3
hit structure
1:74743 C27H41D3O
hit structure
1:74744 C27H38D6O
hit structure
1:74745 C27H40D6O
hit structure
1:74746 C28H38D6O2
hit structure
1:74747 C28H38D6O2
hit structure
1:74748 C28H38D6O3
hit structure
1:74749 C28H41D3O
hit structure
1:74750 C28H38D6O
hit structure

1
  <<    <    >    >>  

entries in data collection: 96378