Home Browse Text SearchFunctional Group SearchStructure SearchPreferences Administration

selected data collection: 1

IRIS SDF: browse content


1
  <<    <    >    >>  

1:747062 C9H20N2O2
hit structure
1:747063 C9H20N2O2
hit structure
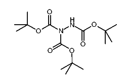
1:747064 C18H26N2O6
hit structure
1:747065 C11H22N2O2
hit structure
1:747066 C15H28N2O6
hit structure
1:747067 C9H20N2O2
hit structure
1:747068 C8H18N2O2
hit structure
1:747069 C10H22N2O2
hit structure
1:747070 C15H32N2O4
hit structure
1:747071 C11H24N2O4
hit structure
1:747072 C7H16N2O2
hit structure
1:747073 C14H22N2O2
hit structure
1:747074 C23H26BrN2O2P
hit structure
1:747075 C9H18N2O2
hit structure
1:747076 C9H18N2O2
hit structure
1:747077 C11H22N2O2
hit structure
1:747078 C15H32N2O5
hit structure
1:747079 C13H26N2O2
hit structure
1:747080 C9H20N2O2
hit structure
1:747081 C10H22N2O2
hit structure
1:747082 C13H26N2O2
hit structure
1:747083 C8H18N2O2
hit structure
1:747084 C9H20N2O2
hit structure
1:747085 C11H22N2O2
hit structure
1:747086 C9H20N2O2S2
hit structure

1
  <<    <    >    >>  

entries in data collection: 751690