Home Browse Text SearchFunctional Group SearchStructure SearchPreferences Administration

selected data collection: 1

IRIS SDF: browse content


1
  <<    <    >    >>  

1:747012 C9H18N2O4
hit structure
1:747013 C13H23NO6
hit structure
1:747014 C15H29NO4
hit structure
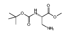
1:747015 C10H19NO4
hit structure
1:747016 C13H23NO4
hit structure
1:747017 C16H19FN2O4
hit structure
1:747018 C16H19FN2O4
hit structure
1:747019 C10H19NO4
hit structure
1:747020 C11H21NO4
hit structure
1:747021 C15H21NO4
hit structure
1:747022 C20H23NO4
hit structure
1:747023 C13H25NO4
hit structure
1:747024 C29H33NO4S
hit structure
1:747025 C18H25NO4
hit structure
1:747026 C18H25NO4
hit structure
1:747027 C8H17NO3
hit structure
1:747028 C8H17NO3
hit structure
1:747029 C16H24N2O5
hit structure
1:747030 C10H21NO3
hit structure
1:747031 C8H17NO3
hit structure
1:747032 C16H24N2O5
hit structure
1:747033 C14H21NO3
hit structure
1:747034 C10H19NO3
hit structure
1:747035 C5H11NO3
hit structure
1:747036 C11H21NO3
hit structure

1
  <<    <    >    >>  

entries in data collection: 751690