Home Browse Text SearchFunctional Group SearchStructure SearchPreferences Administration

selected data collection: 1

IRIS SDF: browse content


1
  <<    <    >    >>  

1:741094 C9H14F3NO4
hit structure
1:741095 C8H12F2KNO4
hit structure
1:741096 C11H16F3NO4
hit structure
1:741097 C10H16FNO4
hit structure
1:741098 C10H16FNO4
hit structure
1:741099 C10H15F2NO4
hit structure
1:741100 C26H30N2O6
hit structure
1:741101 C24H28N2O6
hit structure
1:741102 C14H17F2NO4
hit structure
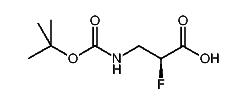
1:741103 C8H14FNO4
hit structure
1:741104 C8H14FNO4
hit structure
1:741105 C28H36F2N2O8
hit structure
1:741106 C20H21F2NO4
hit structure
1:741107 C14H16F9NO5
hit structure
1:741108 C14H16F9NO5
hit structure
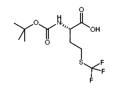
1:741109 C10H16F3NO4S
hit structure
1:741110 C10H17N3O4
hit structure
1:741111 C16H28N4O6
hit structure
1:741112 C11H19N3O4
hit structure
1:741113 C10H15N3O4
hit structure
1:741114 C10H16N4O4
hit structure
1:741115 C10H16N4O4
hit structure
1:741116 C13H17NO4
hit structure
1:741117 C14H19NO4S
hit structure
1:741118 C11H16N2O4
hit structure

1
  <<    <    >    >>  

entries in data collection: 746060