Home Browse Text SearchFunctional Group SearchStructure SearchPreferences Administration

selected data collection: 1

IRIS SDF: browse content


1
  <<    <    >    >>  

1:741044 C11H17NO4S
hit structure
1:741045 C10H15NO5
hit structure
1:741046 C11H17NO5
hit structure
1:741047 C17H21NO5
hit structure
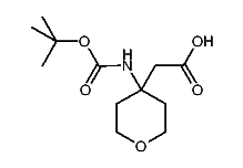
1:741048 C14H19NO4
hit structure
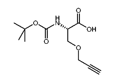
1:741049 C14H19NO4
hit structure
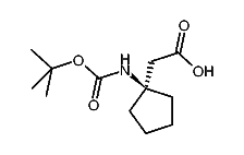
1:741050 C14H19NO4
hit structure
1:741051 C22H34N2O8
hit structure
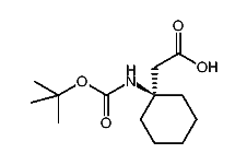
1:741052 C12H21NO4
hit structure
1:741053 C13H23NO4
hit structure
1:741054 C14H25NO4
hit structure
1:741055 C15H27NO4
hit structure
1:741056 C12H21NO5
hit structure
1:741057 C10H17NO4
hit structure
1:741058 C11H19NO4
hit structure
1:741059 C12H21NO4
hit structure
1:741060 C22H38N2O8
hit structure
1:741061 C26H42N2O8
hit structure
1:741062 C26H38N2O8
hit structure
1:741063 C28H50N2O8
hit structure
1:741064 C28H46N2O8
hit structure
1:741065 C24H42N2O8
hit structure
1:741066 C26H46N2O8
hit structure
1:741067 C26H46N2O8
hit structure
1:741068 C28H46N2O8
hit structure

1
  <<    <    >    >>  

entries in data collection: 746060