Home Browse Text SearchFunctional Group SearchStructure SearchPreferences Administration

selected data collection: 1

IRIS SDF: browse content


1
  <<    <    >    >>  

1:740780 C13H23NO6
hit structure
1:740781 C11H20N2O5S
hit structure
1:740782 C15H21NO4S
hit structure
1:740783 C16H23NO4S
hit structure
1:740784 C16H23NO5S
hit structure
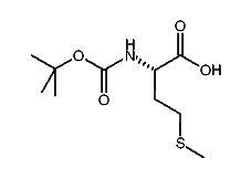
1:740785 C12H23NO4S
hit structure
1:740786 C16H27NO6
hit structure
1:740787 C16H25N3O6
hit structure
1:740788 C11H17N3O4
hit structure
1:740789 C10H17NO5
hit structure
1:740790 C11H21NO4
hit structure
1:740791 C11H21NO4
hit structure
1:740792 C19H27ClN2O6
hit structure
1:740793 C15H26N2O6
hit structure
1:740794 C16H30N2O6
hit structure
1:740795 C19H28N2O6
hit structure
1:740796 C11H22N2O4
hit structure
1:740797 C9H17NO4
hit structure
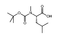
1:740798 C12H23NO4
hit structure
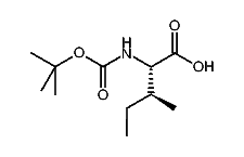
1:740799 C12H23NO4
hit structure
1:740800 C15H21NO4
hit structure
1:740801 C10H19NO4S
hit structure
1:740802 C22H27NO5
hit structure
1:740803 C11H21NO5
hit structure
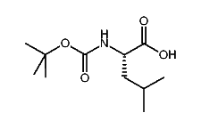
1:740804 C11H21NO4
hit structure

1
  <<    <    >    >>  

entries in data collection: 746060