Home Browse Text SearchFunctional Group SearchStructure SearchPreferences Administration

selected data collection: 1

IRIS SDF: browse content


1
  <<    <    >    >>  

1:739728 C18H35N3O2
hit structure
1:739729 C29H33NO5
hit structure
1:739730 C30H35NO7
hit structure
1:739731 C13H19N3O3
hit structure
1:739732 C11H15N5O4
hit structure
1:739733 C15H25N3O4S3
hit structure
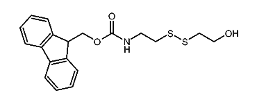
1:739734 C23H26N2O5S2
hit structure
1:739735 C10H18N4O3S2
hit structure
1:739736 C10H15NO3S2
hit structure
1:739737 C53H59N3O5S
hit structure
1:739738 C53H60N4O4S
hit structure
1:739739 C19H22N2O2S2
hit structure
1:739740 C14H26N4O2S3
hit structure
1:739741 C9H12N2O4
hit structure
1:739742 C7H8N2O2
hit structure
1:739743 C17H21N3O8
hit structure
1:739744 C10H12N2O6
hit structure
1:739745 C15H21NO4
hit structure
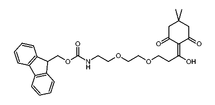
1:739746 C28H31N3O8
hit structure
1:739747 C12H18N4O4
hit structure
1:739748 C13H19N3O2S
hit structure
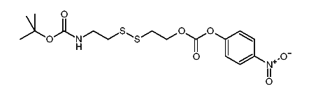
1:739749 C14H12N2O5S2
hit structure
1:739750 C9H19NO3S2
hit structure
1:739751 C16H22N2O7S2
hit structure
1:739752 C19H21NO3S2
hit structure

1
  <<    <    >    >>  

entries in data collection: 740430