Home Browse Text SearchFunctional Group SearchStructure SearchPreferences Administration

selected data collection: 1

IRIS SDF: browse content


1
  <<    <    >    >>  

1:733630 C237H460N12O112
hit structure
1:733631 C141H256N12O64
hit structure
1:733632 C10H19BrN4O4
hit structure
1:733633 C26H51BrN4O12
hit structure
1:733634 C50H99BrN4O24
hit structure
1:733635 C10H24N4O5S
hit structure
1:733636 C17H22F4O7
hit structure
1:733637 C33H54F4O15
hit structure
1:733638 C57H102F4O27
hit structure
1:733639 C94H149N5O39
hit structure
1:733640 C32H52F4O14
hit structure
1:733641 C56H100F4O26
hit structure
1:733642 C58H104F4O27
hit structure
1:733643 C68H114N2O26
hit structure
1:733644 C45H68N2O14
hit structure
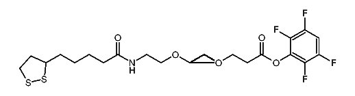
1:733645 C25H35F4NO7S2
hit structure
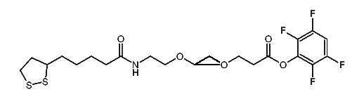
1:733646 C33H51F4NO11S2
hit structure
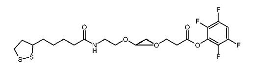
1:733647 C41H67F4NO15S2
hit structure
1:733648 C65H115F4NO27S2
hit structure
1:733649 C89H163F4NO39S2
hit structure
1:733650 C66H126N4O26S3
hit structure
1:733651 C20H20F4N2O7
hit structure
1:733652 C24H28F4N2O9
hit structure
1:733653 C32H44F4N2O13
hit structure
1:733654 C40H60F4N2O17
hit structure

1
  <<    <    >    >>  

entries in data collection: 734800