Home Browse Text SearchFunctional Group SearchStructure SearchPreferences Administration

selected data collection: 1

IRIS SDF: browse content


1
  <<    <    >    >>  

1:733597 C24H50N4O12
hit structure
1:733598 C73H129F4N5O33
hit structure
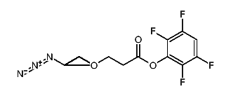
1:733599 C28H36F4N2O11
hit structure
1:733600 C59H107N7O21
hit structure
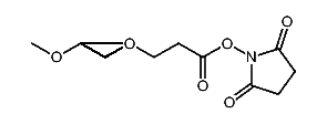
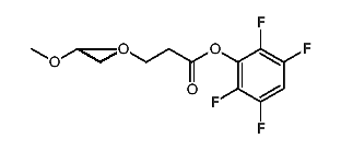
1:733601 C17H21F4N3O6
hit structure
1:733602 C33H53F4N3O14
hit structure
1:733603 C47H83N7O21
hit structure
1:733604 C86H159N3O43
hit structure
1:733605 C71H131N7O33
hit structure
1:733606 C28H56O15
hit structure
1:733607 C32H59NO17
hit structure
1:733608 C34H56F4O15
hit structure
1:733609 C150H289N4O61P
hit structure
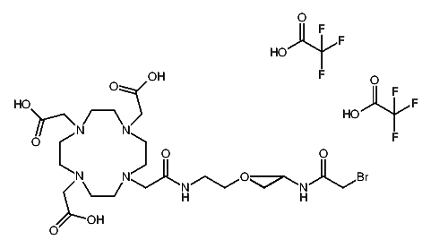
1:733610 C30H49BrF6N6O15
hit structure
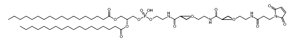
1:733611 C118H233N2O46P
hit structure
1:733612 C42H79BrN6O19
hit structure
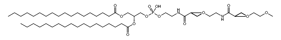
1:733613 C144H285N2O59P
hit structure
1:733614 C109H205F4NO52
hit structure
1:733615 C25H28O3S
hit structure
1:733616 C103H205NO52
hit structure
1:733617 C78H151BrN6O31
hit structure
1:733618 C117H214N2O53
hit structure
1:733619 C110H210N2O53
hit structure
1:733620 C102H204N2O51
hit structure
1:733621 C28H54Br2N2O13
hit structure

1
  <<    <    >    >>  

entries in data collection: 734800