Home Browse Text SearchFunctional Group SearchStructure SearchPreferences Administration

selected data collection: 1

IRIS SDF: browse content


1
  <<    <    >    >>  

1:733569 C12H25N3O6
hit structure
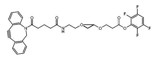
1:733570 C27H32O4S
hit structure
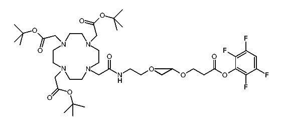
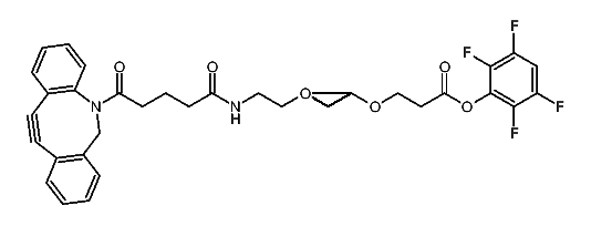
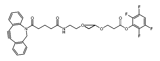
1:733571 C37H38F4N2O8
hit structure
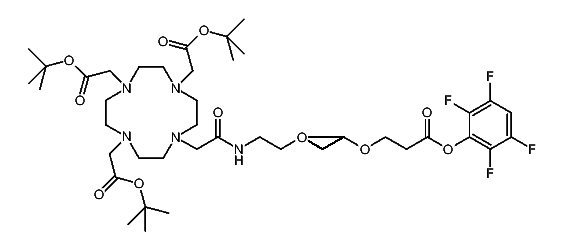
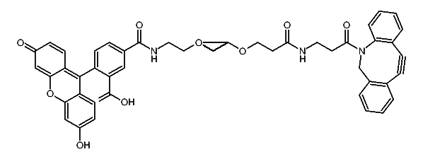
1:733572 C53H70F4N2O16
hit structure
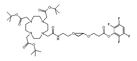
1:733573 C77H118F4N2O28
hit structure
1:733574 C101H166F4N2O40
hit structure
1:733575 C52H74N4O17
hit structure
1:733576 C76H122N4O29
hit structure
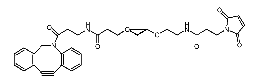
1:733577 C31H38BrN3O7
hit structure
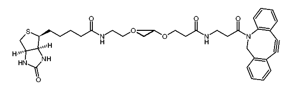
1:733578 C25H37N7O6S
hit structure
1:733579 C47H70BrN3O15
hit structure
1:733580 C23H38N4O6S
hit structure
1:733581 C71H118BrN3O27
hit structure
1:733582 C11H17NO5
hit structure
1:733583 C55H83N5O16S
hit structure
1:733584 C33H45N3O12
hit structure
1:733585 C66H79N3O20
hit structure
1:733586 C13H28N2O5
hit structure
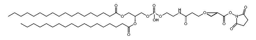
1:733587 C75H141N2O26P
hit structure
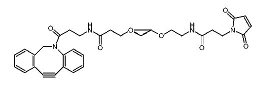
1:733588 C45H73F4N5O13
hit structure
1:733589 C69H136NO22P
hit structure
1:733590 C61H105F4N5O21
hit structure
1:733591 C108H203F4NO51
hit structure
1:733592 C85H153F4N5O33
hit structure
1:733593 C53H105NO27
hit structure

1
  <<    <    >    >>  

entries in data collection: 734800