Home Browse Text SearchFunctional Group SearchStructure SearchPreferences Administration

selected data collection: 1

IRIS SDF: browse content


1
  <<    <    >    >>  

1:733457 C83H157NO40
hit structure
1:733458 C47H70O15S
hit structure
1:733459 C39H60N2O19
hit structure
1:733460 C26H29NO4
hit structure
1:733461 C29H60N2O14
hit structure
1:733462 C34H66N4O14S
hit structure
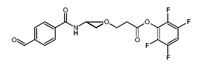
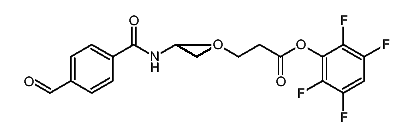
1:733463 C41H59F4NO16
hit structure
1:733464 C65H107F4NO28
hit structure
1:733465 C34H65N3O13S2
hit structure
1:733466 C12H15NO5
hit structure
1:733467 C16H20N2O2S4
hit structure
1:733468 C16H20N2O2S4
hit structure
1:733469 C16H20N2O2S4
hit structure
1:733470 C16H20N2O2S4
hit structure
1:733471 C16H20N2O2S4
hit structure
1:733472 C12H19NO3S2
hit structure
1:733473 C12H19NO3S2
hit structure
1:733474 C12H19NO3S2
hit structure
1:733475 C12H19NO3S2
hit structure
1:733476 C12H19NO3S2
hit structure
1:733477 C24H37N5O5S3
hit structure
1:733478 C24H37N5O5S3
hit structure
1:733479 C24H37N5O5S3
hit structure
1:733480 C24H37N5O5S3
hit structure
1:733481 C12H28N2O6Si
hit structure

1
  <<    <    >    >>  

entries in data collection: 734800