Home Browse Text SearchFunctional Group SearchStructure SearchPreferences Administration

selected data collection: 1

IRIS SDF: browse content


1
  <<    <    >    >>  

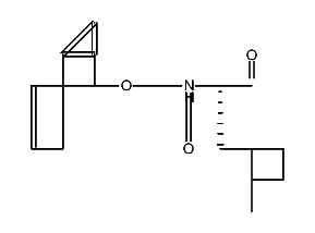
1:7335 C20H19NO4 C20H19NO4 C20H19NO4 C20H19NO4 C2
hit structure
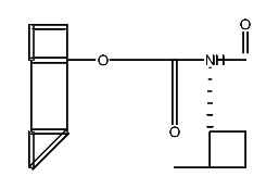
1:7336 C22H23NO4 C22H23NO4 C22H23NO4 C22H23NO4 C2
hit structure
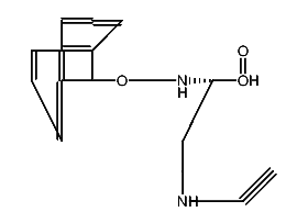
1:7337 C22H23NO4 C22H23NO4 C22H23NO4 C22H23NO4 C2
hit structure
1:7338 C22H23NO4 C22H23NO4 C22H23NO4 C22H23NO4 C2
hit structure
1:7339 C27H26N2O8S C27H26N2O8S C27H26N2O8S C27H26N
hit structure
1:7340 C20H21NO5 C20H21NO5 C20H21NO5 C20H21NO5 C2
hit structure
1:7341 C20H21NO5 C20H21NO5 C20H21NO5 C20H21NO5 C2
hit structure
1:7342 C23H27NO4S C23H27NO4S C23H27NO4S C23H27NO4S
hit structure
1:7343 C21H23NO4S C21H23NO4S C21H23NO4S C21H23NO4S
hit structure
1:7344 C24H21NO5 C24H21NO5 C24H21NO5 C24H21NO5 C2
hit structure
1:7345 C28H29NO5 C28H29NO5 C28H29NO5 C28H29NO5 C2
hit structure
1:7346 C19H17NO4 C19H17NO4 C19H17NO4 C19H17NO4 C1
hit structure
1:7347 C21H22N4O4 C21H22N4O4 C21H22N4O4 C21H22N4O4
hit structure
1:7348 C19H18N4O4 C19H18N4O4 C19H18N4O4 C19H18N4O4
hit structure
1:7349 C28H36N2O6 C28H36N2O6 C28H36N2O6 C28H36N2O6
hit structure
1:7350 C33H31NO6S3 C33H31NO6S3 C33H31NO6S3 C33H31N
hit structure
1:7351 C23H25NO5S C23H25NO5S C23H25NO5S C23H25NO5S
hit structure
1:7352 C21H23NO5 C21H23NO5 C21H23NO5 C21H23NO5 C2
hit structure
1:7353 C23H22N2O5 C23H22N2O5 C23H22N2O5 C23H22N2O5
hit structure
1:7354 C26H28N2O5 C26H28N2O5 C26H28N2O5 C26H28N2O5
hit structure
1:7355 C27H29NO4 C27H29NO4 C27H29NO4 C27H29NO4 C2
hit structure
1:7356 C25H23NO4 C25H23NO4 C25H23NO4 C25H23NO4 C2
hit structure
1:7357 C28H31NO4 C28H31NO4 C28H31NO4 C28H31NO4 C2
hit structure
1:7358 C20H19NO4 C20H19NO4 C20H19NO4 C20H19NO4 C2
hit structure
1:7359 C28H31NO4 C28H31NO4 C28H31NO4 C28H31NO4 C2
hit structure

1
  <<    <    >    >>  

entries in data collection: 101410