Home Browse Text SearchFunctional Group SearchStructure SearchPreferences Administration

selected data collection: 1

IRIS SDF: browse content


1
  <<    <    >    >>  

1:733098 C6H14O2S2
hit structure
1:733099 C6H14O2S2
hit structure
1:733100 C6H14O2S2
hit structure
1:733101 C14H16N2O6
hit structure
1:733102 C14H16N2O6
hit structure
1:733103 C14H16N2O6
hit structure
1:733104 C14H16N2O6
hit structure
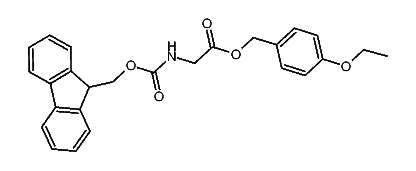
1:733105 C34H38N2O7S
hit structure
1:733106 C34H38N2O7S
hit structure
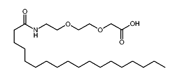
1:733107 C24H47NO5
hit structure
1:733108 C16H36N2O7
hit structure
1:733109 C70H127N3O35
hit structure
1:733110 C74H129NO32
hit structure
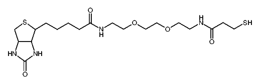
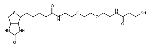
1:733111 C19H34N4O5S2
hit structure
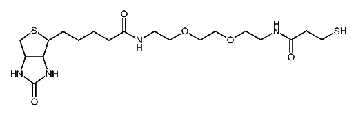
1:733112 C19H34N4O5S2
hit structure
1:733113 C19H34N4O5S2
hit structure
1:733114 C7H15N3O3
hit structure
1:733115 C12H24N2O7
hit structure
1:733116 C54H48N2O6
hit structure
1:733117 C39H41NO7
hit structure
1:733118 C26H25NO5
hit structure
1:733119 C55H47N3O5
hit structure
1:733120 C36H37NO5
hit structure
1:733121 C36H37NO5
hit structure
1:733122 C41H46N2O7
hit structure

1
  <<    <    >    >>  

entries in data collection: 734800