Home Browse Text SearchFunctional Group SearchStructure SearchPreferences Administration

selected data collection: 1

IRIS SDF: browse content


1
  <<    <    >    >>  

1:732831 C46H50N10O9
hit structure
1:732832 C55H65N7O12
hit structure
1:732833 C51H53N7O16
hit structure
1:732834 C48H63N13O10
hit structure
1:732835 C23H34N4O4S3
hit structure
1:732836 C14H20N4O4
hit structure
1:732837 C16H15N5
hit structure
1:732838 C27H38D6O2
hit structure
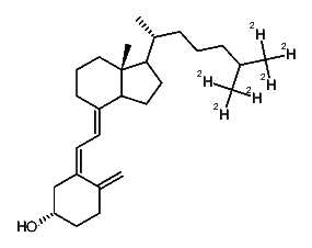
1:732839 C27H40D6O2
hit structure
1:732840 C27H38D6O
hit structure
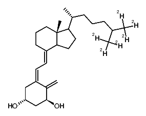
1:732841 C27H38D6O2
hit structure
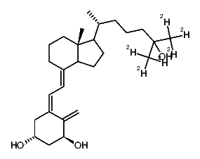
1:732842 C27H38D6O3
hit structure
1:732843 C27H41D3O
hit structure
1:732844 C27H38D6O
hit structure
1:732845 C27H40D6O
hit structure
1:732846 C28H38D6O2
hit structure
1:732847 C28H38D6O2
hit structure
1:732848 C28H38D6O3
hit structure
1:732849 C28H41D3O
hit structure
1:732850 C28H38D6O
hit structure
1:732851 C29H47D3O2
hit structure
1:732852 C29H44D6O2
hit structure
1:732853 C31H46D6O3
hit structure
1:732854 C29H41D9O2
hit structure
1:732855 C31H43D9O3
hit structure

1
  <<    <    >    >>  

entries in data collection: 734800