Home Browse Text SearchFunctional Group SearchStructure SearchPreferences Administration

selected data collection: 1

IRIS SDF: browse content


1
  <<    <    >    >>  

1:732281 C12H18N2O4
hit structure
1:732282 C14H26N2O4
hit structure
1:732283 C8H15NO2
hit structure
1:732284 C14H26N2O4
hit structure
1:732285 C16H30N2O4
hit structure
1:732286 C14H22N2O4
hit structure
1:732287 C14H22N2O4
hit structure
1:732288 C18H30N2O4
hit structure
1:732289 C7H13NO2
hit structure
1:732290 C6H13NO2
hit structure
1:732291 C7H15NO2
hit structure
1:732292 C8H17NO2
hit structure
1:732293 C9H19NO2
hit structure
1:732294 C7H15NO2
hit structure
1:732295 C6H13NO2
hit structure
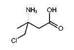
1:732296 C5H10ClNO2
hit structure
1:732297 C9H17NO2
hit structure
1:732298 C10H19NO2
hit structure
1:732299 C7H15NO2
hit structure
1:732300 C7H13NO2
hit structure
1:732301 C7H13NO3
hit structure
1:732302 C5H9NO2
hit structure
1:732303 C6H11NO2
hit structure
1:732304 C16H26N2O4
hit structure
1:732305 C16H22N2O4
hit structure

1
  <<    <    >    >>  

entries in data collection: 746060