Home Browse Text SearchFunctional Group SearchStructure SearchPreferences Administration

selected data collection: 1

IRIS SDF: browse content


1
  <<    <    >    >>  

1:731793 C24H28N2O5
hit structure
1:731794 C22H24N4O4
hit structure
1:731795 C35H44N2O6
hit structure
1:731796 C25H28N2O5
hit structure
1:731797 C28H28N2O8S
hit structure
1:731798 C29H27N5O3S
hit structure
1:731799 C26H19N3O4S2
hit structure
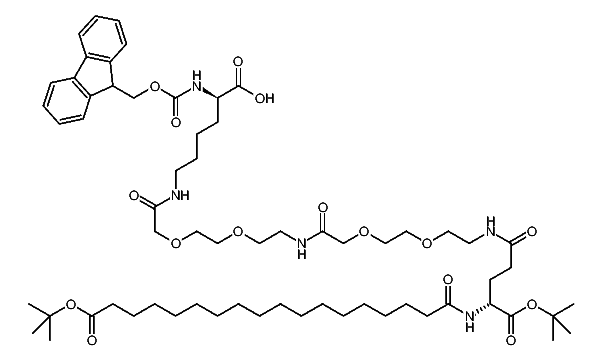
1:731800 C64H101N5O16
hit structure
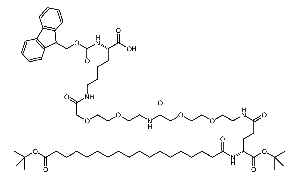
1:731801 C64H101N5O16
hit structure
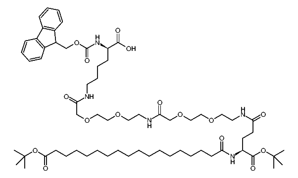
1:731802 C64H101N5O16
hit structure
1:731803 C22H21NO4S
hit structure
1:731804 C25H28N2O6
hit structure
1:731805 C24H24N2O6
hit structure
1:731806 C28H36N2O6
hit structure
1:731807 C39H34N2O5
hit structure
1:731808 C22H23NO4
hit structure
1:731809 C28H34N2O7
hit structure
1:731810 C29H36N2O7
hit structure
1:731811 C30H38N2O7
hit structure
1:731812 C26H30N2O6
hit structure
1:731813 C23H26N4O4
hit structure
1:731814 C31H31N3O10
hit structure
1:731815 C24H23N3O4
hit structure
1:731816 C24H19N5O7
hit structure
1:731817 C27H25N5O7
hit structure

1
  <<    <    >    >>  

entries in data collection: 751690