Home Browse Text SearchFunctional Group SearchStructure SearchPreferences Administration

selected data collection: 1

IRIS SDF: browse content


1
  <<    <    >    >>  

1:730337 C11H17NO
hit structure
1:730338 C15H21NO4
hit structure
1:730339 C11H17NO
hit structure
1:730340 C11H15BrO
hit structure
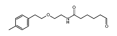
1:730341 C17H25NO3
hit structure
1:730342 C18H30O5
hit structure
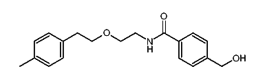
1:730343 C19H22O4
hit structure
1:730344 C18H20O3
hit structure
1:730345 C19H23NO3
hit structure
1:730346 C43H44N2O7
hit structure
1:730347 C16H22O4
hit structure
1:730348 C11H16OS
hit structure
1:730349 C31H31NO3
hit structure
1:730350 C18H22O3
hit structure
1:730351 C11H15BrO
hit structure
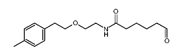
1:730352 C17H25NO3
hit structure
1:730353 C18H30O5
hit structure
1:730354 C19H22O4
hit structure
1:730355 C18H20O3
hit structure
1:730356 C19H23NO3
hit structure
1:730357 C43H44N2O7
hit structure
1:730358 C16H22O4
hit structure
1:730359 C11H16OS
hit structure
1:730360 C31H31NO3
hit structure
1:730361 C18H22O3
hit structure

1
  <<    <    >    >>  

entries in data collection: 734800