Home Browse Text SearchFunctional Group SearchStructure SearchPreferences Administration

selected data collection: 1

IRIS SDF: browse content


1
  <<    <    >    >>  

1:730187 C11H22N2O2
hit structure
1:730188 C15H32N2O5
hit structure
1:730189 C13H26N2O2
hit structure
1:730190 C9H20N2O2
hit structure
1:730191 C10H22N2O2
hit structure
1:730192 C13H26N2O2
hit structure
1:730193 C8H18N2O2
hit structure
1:730194 C9H20N2O2
hit structure
1:730195 C11H22N2O2
hit structure
1:730196 C9H20N2O2S2
hit structure
1:730197 C16H26N2O2
hit structure
1:730198 C13H26N2O2
hit structure
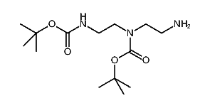
1:730199 C14H29N3O4
hit structure
1:730200 C14H29N3O4
hit structure
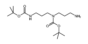
1:730201 C16H33N3O4
hit structure
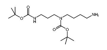
1:730202 C16H33N3O4
hit structure
1:730203 C17H35N3O4
hit structure
1:730204 C17H35N3O4
hit structure
1:730205 C10H22N4O3
hit structure
1:730206 C24H50N4O4
hit structure
1:730207 C9H20N2O2S2
hit structure
1:730208 C13H28N2O2
hit structure
1:730209 C14H30N2O2
hit structure
1:730210 C15H32N2O2
hit structure
1:730211 C16H34N2O2
hit structure

1
  <<    <    >    >>  

entries in data collection: 734800