Home Browse Text SearchFunctional Group SearchStructure SearchPreferences Administration

selected data collection: 1

IRIS SDF: browse content


1
  <<    <    >    >>  

1:727987 C78H151BrN6O31
hit structure
1:727988 C117H214N2O53
hit structure
1:727989 C110H210N2O53
hit structure
1:727990 C102H204N2O51
hit structure
1:727991 C28H54Br2N2O13
hit structure
1:727992 C193H296N12O60
hit structure
1:727993 C64H82N4O15
hit structure
1:727994 C93H184NO34P
hit structure
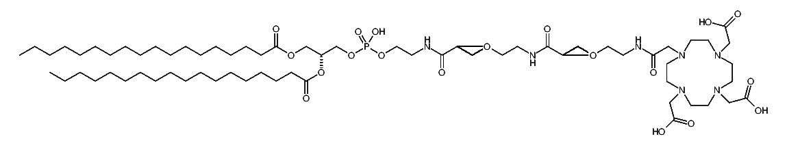
1:727995 C163H299N4O60P
hit structure
1:727996 C159H310N7O65P
hit structure
1:727997 C165H298N3O64P
hit structure
1:727998 C164H319N6O65PS
hit structure
1:727999 C201H390N5O86P
hit structure
1:728000 C237H460N12O112
hit structure
1:728001 C141H256N12O64
hit structure
1:728002 C10H19BrN4O4
hit structure
1:728003 C26H51BrN4O12
hit structure
1:728004 C50H99BrN4O24
hit structure
1:728005 C10H24N4O5S
hit structure
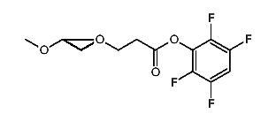
1:728006 C17H22F4O7
hit structure
1:728007 C33H54F4O15
hit structure
1:728008 C57H102F4O27
hit structure
1:728009 C94H149N5O39
hit structure
1:728010 C32H52F4O14
hit structure
1:728011 C56H100F4O26
hit structure

1
  <<    <    >    >>  

entries in data collection: 729170