Home Browse Text SearchFunctional Group SearchStructure SearchPreferences Administration

selected data collection: 1

IRIS SDF: browse content


1
  <<    <    >    >>  

1:727462 C27H30N2O8
hit structure
1:727463 C27H30N2O8
hit structure
1:727464 C20H40O10S
hit structure
1:727465 C19H38O10S
hit structure
1:727466 C6H14O2S2
hit structure
1:727467 C6H14O2S2
hit structure
1:727468 C6H14O2S2
hit structure
1:727469 C6H14O2S2
hit structure
1:727470 C6H14O2S2
hit structure
1:727471 C14H16N2O6
hit structure
1:727472 C14H16N2O6
hit structure
1:727473 C14H16N2O6
hit structure
1:727474 C14H16N2O6
hit structure
1:727475 C34H38N2O7S
hit structure
1:727476 C34H38N2O7S
hit structure
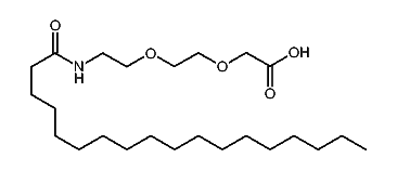
1:727477 C24H47NO5
hit structure
1:727478 C16H36N2O7
hit structure
1:727479 C70H127N3O35
hit structure
1:727480 C74H129NO32
hit structure
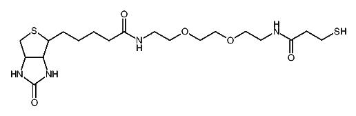
1:727481 C19H34N4O5S2
hit structure
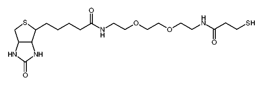
1:727482 C19H34N4O5S2
hit structure
1:727483 C19H34N4O5S2
hit structure
1:727484 C7H15N3O3
hit structure
1:727485 C12H24N2O7
hit structure
1:727486 C54H48N2O6
hit structure

1
  <<    <    >    >>  

entries in data collection: 729170