Home Browse Text SearchFunctional Group SearchStructure SearchPreferences Administration

selected data collection: 1

IRIS SDF: browse content


1
  <<    <    >    >>  

1:726242 C40H35N3O6
hit structure
1:726243 C19H18N2O5
hit structure
1:726244 C22H22N2O5
hit structure
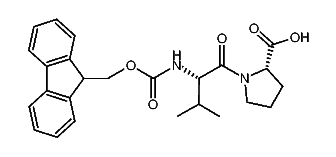
1:726245 C23H26N2O5
hit structure
1:726246 C26H30N2O5
hit structure
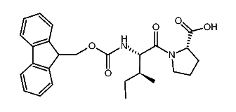
1:726247 C23H26N2O5
hit structure
1:726248 C26H30N2O5
hit structure
1:726249 C31H39N3O7
hit structure
1:726250 C26H24N2O5
hit structure
1:726251 C29H28N2O5
hit structure
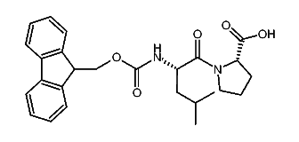
1:726252 C22H22N2O5
hit structure
1:726253 C25H26N2O5
hit structure
1:726254 C24H28N2O6
hit structure
1:726255 C27H32N2O6
hit structure
1:726256 C25H30N2O6
hit structure
1:726257 C31H29N3O5
hit structure
1:726258 C22H24N2O5
hit structure
1:726259 C25H28N2O5
hit structure
1:726260 C35H40N2O9
hit structure
1:726261 C35H28N2O7
hit structure
1:726262 C36H43N5O8S
hit structure
1:726263 C28H35N3O7
hit structure
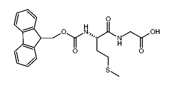
1:726264 C22H24N2O5S
hit structure
1:726265 C27H29N3O7
hit structure
1:726266 C31H34N2O7
hit structure

1
  <<    <    >    >>  

entries in data collection: 740430