Home Browse Text SearchFunctional Group SearchStructure SearchPreferences Administration

selected data collection: 1

IRIS SDF: browse content


1
  <<    <    >    >>  

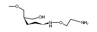
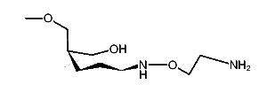
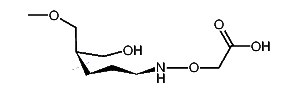
1:72551 C11H28N2O3
hit structure
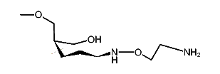
1:72552 C11H28N2O3
hit structure
1:72553 C11H28N2O3
hit structure
1:72554 C11H28N2O3
hit structure
1:72555 C11H28N2O3
hit structure
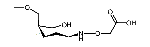
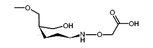
1:72556 C11H25NO5
hit structure
1:72557 C11H25NO5
hit structure
1:72558 C11H25NO5
hit structure
1:72559 C11H25NO5
hit structure
1:72560 C11H25NO5
hit structure
1:72561 C11H25NO5
hit structure
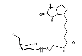
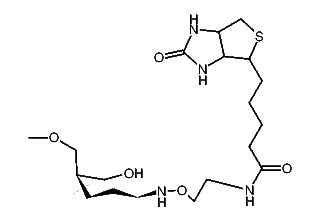
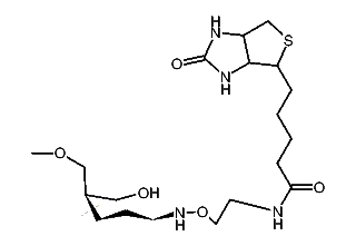
1:72562 C21H42N4O5S
hit structure
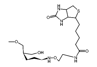
1:72563 C21H42N4O5S
hit structure
1:72564 C21H42N4O5S
hit structure
1:72565 C21H42N4O5S
hit structure
1:72566 C21H42N4O5S
hit structure
1:72567 C12H29NO3S
hit structure
1:72568 C25H23N3O2
hit structure
1:72569 C47H51FN7O7P
hit structure
1:72570 C41H49FN5O8P
hit structure
1:72571 C44H53FN7O8P
hit structure
1:72572 C48H54N7O8P
hit structure
1:72573 C47H54N5O9P
hit structure
1:72574 C45H56N7O9P
hit structure
1:72575 C40H49N4O9P
hit structure

1
  <<    <    >    >>  

entries in data collection: 126570