Home Browse Text SearchFunctional Group SearchStructure SearchPreferences Administration

selected data collection: 1

IRIS SDF: browse content


1
  <<    <    >    >>  

1:722854 C10H12N2O6
hit structure
1:722855 C15H21NO4
hit structure
1:722856 C28H31N3O8
hit structure
1:722857 C12H18N4O4
hit structure
1:722858 C13H19N3O2S
hit structure
1:722859 C14H12N2O5S2
hit structure
1:722860 C9H19NO3S2
hit structure
1:722861 C16H22N2O7S2
hit structure
1:722862 C19H21NO3S2
hit structure
1:722863 C26H24N2O7S2
hit structure
1:722864 C19H14N2O5S2
hit structure
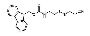
1:722865 C14H21NO3S2
hit structure
1:722866 C21H24N2O7S2
hit structure
1:722867 C24H23NO3S2
hit structure
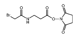
1:722868 C9H11BrN2O5
hit structure
1:722869 C8H14N2O2S
hit structure
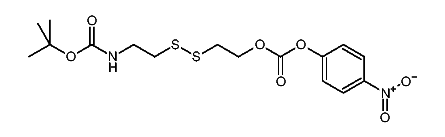
1:722870 C24H20N2O7S
hit structure
1:722871 C16H32ClN3O5
hit structure
1:722872 C9H9N3O2
hit structure
1:722873 C10H19NO5
hit structure
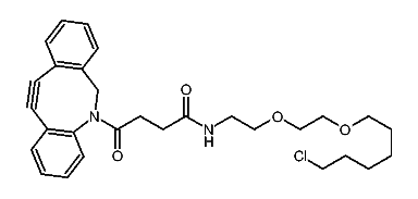
1:722874 C29H35ClN2O4
hit structure
1:722875 C10H22ClNO2
hit structure
1:722876 C14H30ClNO4
hit structure
1:722877 C10H20ClN3O2
hit structure
1:722878 C14H28ClN3O4
hit structure

1
  <<    <    >    >>  

entries in data collection: 723540