Home Browse Text SearchFunctional Group SearchStructure SearchPreferences Administration

selected data collection: 1

IRIS SDF: browse content


1
  <<    <    >    >>  

1:722386 C33H51F4NO11S2
hit structure
1:722387 C41H67F4NO15S2
hit structure
1:722388 C65H115F4NO27S2
hit structure
1:722389 C89H163F4NO39S2
hit structure
1:722390 C66H126N4O26S3
hit structure
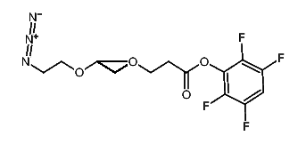
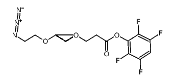
1:722391 C20H20F4N2O7
hit structure
1:722392 C24H28F4N2O9
hit structure
1:722393 C32H44F4N2O13
hit structure
1:722394 C40H60F4N2O17
hit structure
1:722395 C64H108F4N2O29
hit structure
1:722396 C88H156F4N2O41
hit structure
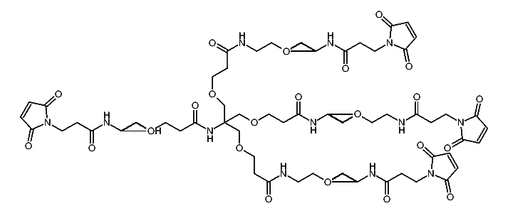
1:722397 C115H209F4N3O54
hit structure
1:722398 C19H24BrF4NO7
hit structure
1:722399 C35H56BrF4NO15
hit structure
1:722400 C59H104BrF4NO27
hit structure
1:722401 C44H70N4O18
hit structure
1:722402 C57H101F4N3O26
hit structure
1:722403 C81H149F4N3O38
hit structure
1:722404 C140H246N12O64
hit structure
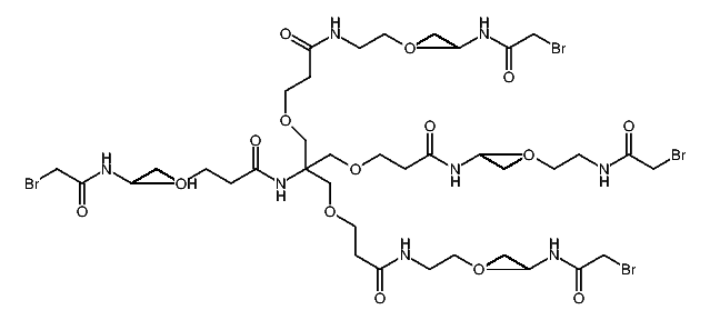
1:722405 C120H230Br4N8O56
hit structure
1:722406 C53H108N2O25
hit structure
1:722407 C26H45NO15
hit structure
1:722408 C58H109NO31
hit structure
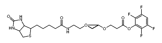
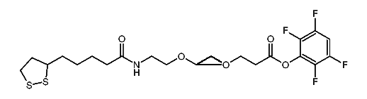
1:722409 C67H117F4N3O28S
hit structure
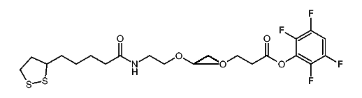
1:722410 C31H44F4N4O9S
hit structure

1
  <<    <    >    >>  

entries in data collection: 723540