Home Browse Text SearchFunctional Group SearchStructure SearchPreferences Administration

selected data collection: 1

IRIS SDF: browse content


1
  <<    <    >    >>  

1:71901 C17H25NO5
hit structure
1:71902 C17H22N2O4
hit structure
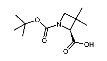
1:71903 C22H27NO5
hit structure
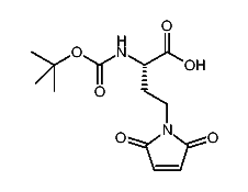
1:71904 C11H21NO4
hit structure
1:71905 C12H23NO4
hit structure
1:71906 C12H23NO4
hit structure
1:71907 C12H21NO4
hit structure
1:71908 C12H21NO4
hit structure
1:71909 C13H24N2O6
hit structure
1:71910 C17H24N2O5S
hit structure
1:71911 C9H14N2O4
hit structure
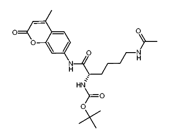
1:71912 C25H40N4O7S
hit structure
1:71913 C23H31N3O6
hit structure
1:71914 C12H23NO4S2
hit structure
1:71915 C11H21N3O5
hit structure
1:71916 C27H34N4O8
hit structure
1:71917 C13H24N2O5
hit structure
1:71918 C12H21NO4
hit structure
1:71919 C12H23NO4S
hit structure
1:71920 C11H19NO4
hit structure
1:71921 C25H30N2O6S
hit structure
1:71922 C20H32N4O6S
hit structure
1:71923 C12H16N2O6
hit structure
1:71924 C13H18N2O6
hit structure
1:71925 C13H24N2O8
hit structure

1
  <<    <    >    >>  

entries in data collection: 131602