Home Browse Text SearchFunctional Group SearchStructure SearchPreferences Administration

selected data collection: 1

IRIS SDF: browse content


1
  <<    <    >    >>  

1:718518 C10H19NO4
hit structure
1:718519 C10H19NO4
hit structure
1:718520 C19H21NO4
hit structure
1:718521 C13H24N2O5S2
hit structure
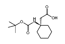
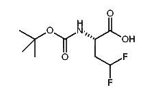
1:718522 C9H15F2NO4
hit structure
1:718523 C14H28N2O4
hit structure
1:718524 C11H17NO4S
hit structure
1:718525 C10H15NO5
hit structure
1:718526 C11H17NO5
hit structure
1:718527 C17H21NO5
hit structure
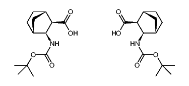
1:718528 C14H19NO4
hit structure
1:718529 C14H19NO4
hit structure
1:718530 C14H19NO4
hit structure
1:718531 C22H34N2O8
hit structure
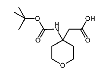
1:718532 C12H21NO4
hit structure
1:718533 C13H23NO4
hit structure
1:718534 C14H25NO4
hit structure
1:718535 C15H27NO4
hit structure
1:718536 C12H21NO5
hit structure
1:718537 C10H17NO4
hit structure
1:718538 C11H19NO4
hit structure
1:718539 C12H21NO4
hit structure
1:718540 C22H38N2O8
hit structure
1:718541 C26H42N2O8
hit structure
1:718542 C26H38N2O8
hit structure

1
  <<    <    >    >>  

entries in data collection: 723540