Home Browse Text SearchFunctional Group SearchStructure SearchPreferences Administration

selected data collection: 1

IRIS SDF: browse content


1
  <<    <    >    >>  

1:713300 C9H20N2O2
hit structure
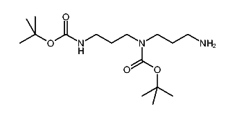
1:713301 C10H22N2O2
hit structure
1:713302 C13H26N2O2
hit structure
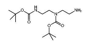
1:713303 C8H18N2O2
hit structure
1:713304 C9H20N2O2
hit structure
1:713305 C11H22N2O2
hit structure
1:713306 C9H20N2O2S2
hit structure
1:713307 C16H26N2O2
hit structure
1:713308 C13H26N2O2
hit structure
1:713309 C14H29N3O4
hit structure
1:713310 C14H29N3O4
hit structure
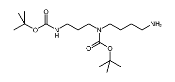
1:713311 C16H33N3O4
hit structure
1:713312 C16H33N3O4
hit structure
1:713313 C17H35N3O4
hit structure
1:713314 C17H35N3O4
hit structure
1:713315 C10H22N4O3
hit structure
1:713316 C24H50N4O4
hit structure
1:713317 C9H20N2O2S2
hit structure
1:713318 C13H28N2O2
hit structure
1:713319 C14H30N2O2
hit structure
1:713320 C15H32N2O2
hit structure
1:713321 C16H34N2O2
hit structure
1:713322 C17H36N2O2
hit structure
1:713323 C14H27N3O4
hit structure
1:713324 C9H19N3O2
hit structure

1
  <<    <    >    >>  

entries in data collection: 717910