Home Browse Text SearchFunctional Group SearchStructure SearchPreferences Administration

selected data collection: 1

IRIS SDF: browse content


1
  <<    <    >    >>  

1:713048 C15H21NO5
hit structure
1:713049 C20H23NO5
hit structure
1:713050 C15H18F3NO5
hit structure
1:713051 C15H18F3NO4
hit structure
1:713052 C16H17F6NO4
hit structure
1:713053 C14H17Cl2NO4
hit structure
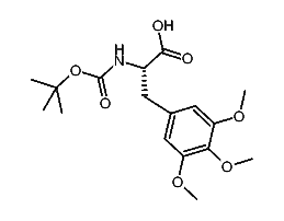
1:713054 C17H25NO7
hit structure
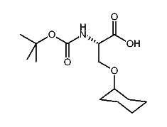
1:713055 C16H23NO4
hit structure
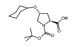
1:713056 C16H23NO5
hit structure
1:713057 C18H28N2O4
hit structure
1:713058 C15H18F3NO5
hit structure
1:713059 C18H27NO4
hit structure
1:713060 C17H25NO4
hit structure
1:713061 C14H19NO5
hit structure
1:713062 C19H37NO4
hit structure
1:713063 C14H19NO5
hit structure
1:713064 C15H20N2O5
hit structure
1:713065 C16H22N2O5
hit structure
1:713066 C17H21N3O4
hit structure
1:713067 C22H24N2O4
hit structure
1:713068 C16H28N2O5
hit structure
1:713069 C15H26N2O5
hit structure
1:713070 C14H25NO5
hit structure
1:713071 C20H29NO5
hit structure
1:713072 C16H27NO5
hit structure

1
  <<    <    >    >>  

entries in data collection: 717910