Home Browse Text SearchFunctional Group SearchStructure SearchPreferences Administration

selected data collection: 1

IRIS SDF: browse content


1
  <<    <    >    >>  

1:712973 C13H17NO4
hit structure
1:712974 C8H15NO5
hit structure
1:712975 C10H17NO4
hit structure
1:712976 C10H15NO4
hit structure
1:712977 C10H17NO4
hit structure
1:712978 C10H17NO4
hit structure
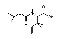
1:712979 C17H27NO4
hit structure
1:712980 C28H38N2O10
hit structure
1:712981 C28H38N2O10
hit structure
1:712982 C30H42N2O8
hit structure
1:712983 C12H23NO4
hit structure
1:712984 C12H23NO4
hit structure
1:712985 C12H21NO4
hit structure
1:712986 C12H21NO4
hit structure
1:712987 C12H21NO4
hit structure
1:712988 C15H26N2O4
hit structure
1:712989 C13H23NO4
hit structure
1:712990 C14H25NO4
hit structure
1:712991 C11H19NO5
hit structure
1:712992 C9H15NO6
hit structure
1:712993 C14H23NO4
hit structure
1:712994 C9H14F3NO4
hit structure
1:712995 C11H19NO6
hit structure
1:712996 C19H37NO4
hit structure
1:712997 C16H21NO4
hit structure

1
  <<    <    >    >>  

entries in data collection: 717910