Home Browse Text SearchFunctional Group SearchStructure SearchPreferences Administration

selected data collection: 1

IRIS SDF: browse content


1
  <<    <    >    >>  

1:712898 C14H19NO4
hit structure
1:712899 C14H19NO4
hit structure
1:712900 C14H19NO4
hit structure
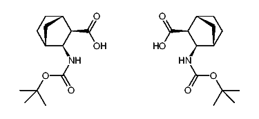
1:712901 C22H34N2O8
hit structure
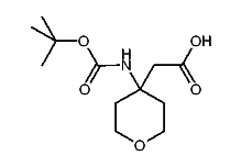
1:712902 C12H21NO4
hit structure
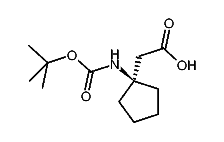
1:712903 C13H23NO4
hit structure
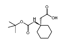
1:712904 C14H25NO4
hit structure
1:712905 C15H27NO4
hit structure
1:712906 C12H21NO5
hit structure
1:712907 C10H17NO4
hit structure
1:712908 C11H19NO4
hit structure
1:712909 C12H21NO4
hit structure
1:712910 C22H38N2O8
hit structure
1:712911 C26H42N2O8
hit structure
1:712912 C26H38N2O8
hit structure
1:712913 C28H50N2O8
hit structure
1:712914 C28H46N2O8
hit structure
1:712915 C24H42N2O8
hit structure
1:712916 C26H46N2O8
hit structure
1:712917 C26H46N2O8
hit structure
1:712918 C28H46N2O8
hit structure
1:712919 C11H21NO4
hit structure
1:712920 C12H23NO4
hit structure
1:712921 C13H25NO4
hit structure
1:712922 C14H27NO4
hit structure

1
  <<    <    >    >>  

entries in data collection: 717910