Home Browse Text SearchFunctional Group SearchStructure SearchPreferences Administration

selected data collection: 1

IRIS SDF: browse content


1
  <<    <    >    >>  

1:705415 C32H34N2O5S
hit structure
1:705416 C32H34N2O5S
hit structure
1:705417 C25H45N3O10S
hit structure
1:705418 C30H36O6S
hit structure
1:705419 C12H25N3O6
hit structure
1:705420 C27H32O4S
hit structure
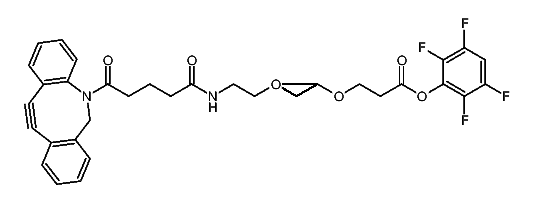
1:705421 C37H38F4N2O8
hit structure
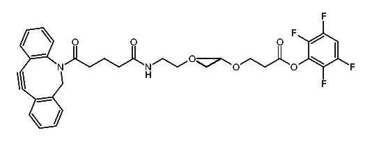
1:705422 C53H70F4N2O16
hit structure
1:705423 C77H118F4N2O28
hit structure
1:705424 C101H166F4N2O40
hit structure
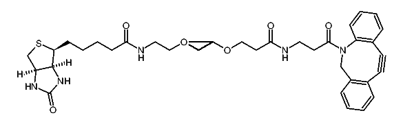
1:705425 C52H74N4O17
hit structure
1:705426 C76H122N4O29
hit structure
1:705427 C31H38BrN3O7
hit structure
1:705428 C25H37N7O6S
hit structure
1:705429 C47H70BrN3O15
hit structure
1:705430 C23H38N4O6S
hit structure
1:705431 C71H118BrN3O27
hit structure
1:705432 C11H17NO5
hit structure
1:705433 C55H83N5O16S
hit structure
1:705434 C33H45N3O12
hit structure
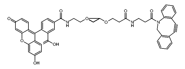
1:705435 C66H79N3O20
hit structure
1:705436 C13H28N2O5
hit structure
1:705437 C75H141N2O26P
hit structure
1:705438 C45H73F4N5O13
hit structure
1:705439 C69H136NO22P
hit structure

1
  <<    <    >    >>  

entries in data collection: 706650