Home Browse Text SearchFunctional Group SearchStructure SearchPreferences Administration

selected data collection: 1

IRIS SDF: browse content


1
  <<    <    >    >>  

1:705365 C37H45F4N5O13
hit structure
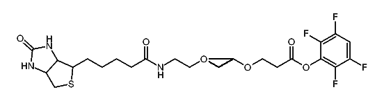
1:705366 C43H69F4N3O16S
hit structure
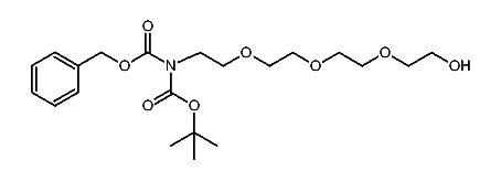
1:705367 C18H34N4O6S
hit structure
1:705368 C14H26N4O6
hit structure
1:705369 C25H30N2O8
hit structure
1:705370 C59H116NO17P
hit structure
1:705371 C75H140N3O24P
hit structure
1:705372 C25H44N4O8S
hit structure
1:705373 C10H18N4O5
hit structure
1:705374 C10H21N3O5
hit structure
1:705375 C16H34O8S
hit structure
1:705376 C10H22N4O4
hit structure
1:705377 C4H9N3O2
hit structure
1:705378 C4H9N3O2
hit structure
1:705379 C4H9N3O2
hit structure
1:705380 C4H9N3O2
hit structure
1:705381 C21H25NO5
hit structure
1:705382 C23H29NO6
hit structure
1:705383 C21H33NO8
hit structure
1:705384 C10H19N3O4
hit structure
1:705385 C8H15N3O5
hit structure
1:705386 C18H27NO9
hit structure
1:705387 C11H21NO4
hit structure
1:705388 C18H26N2O7
hit structure
1:705389 C4H10O2S
hit structure

1
  <<    <    >    >>  

entries in data collection: 706650